This website requires JavaScript.
Explore
Help
Sign In
dragan.olcan
/
O-ESD
Watch
1
Star
0
Fork
You've already forked O-ESD
0
Code
Issues
Pull requests
Actions
Packages
Projects
Releases
Wiki
Activity
2d487768a8
O-ESD
/
v0.5
/
3-measurements
/
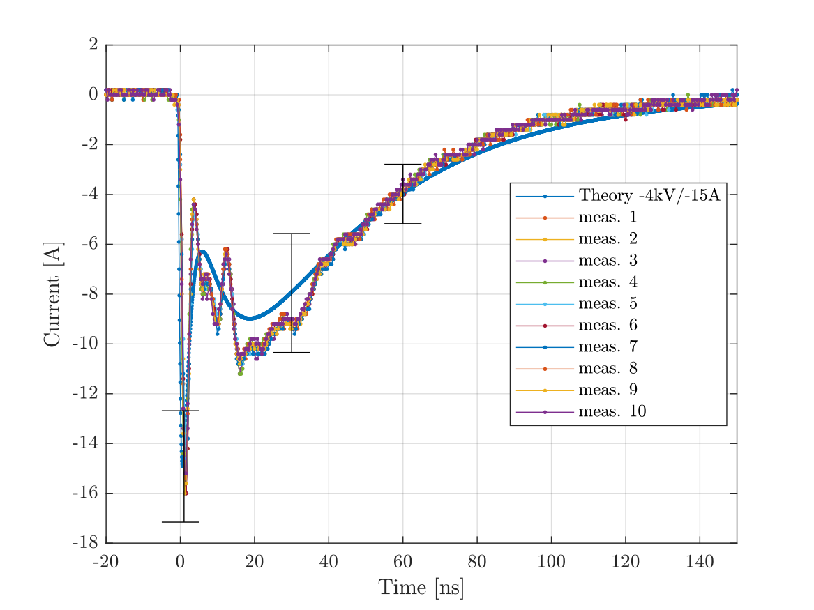
contact_discharge_4kV_negative.png
Dragan Olćan
99ff524628
v0.5
2025-03-04 18:41:54 +01:00
142 KiB
1167x875px
Raw
History